当前位置: 首页 公司产品> 产品分类一
滚齿刀具
发表于2025-10-24 14:48:32 55次浏览

刀具材料:熔炼高速钢(普通高速钢,高性能高速钢粉末冶金高速钢,硬质合金

外廓尺寸:外径Φ10 ~ Φ500;最大长度650

刀具标准:GB/T6084,DIN3968

键槽结构:轴向键槽,单端面键槽,双端面键槽

切削场合:湿切,干切;   软切,硬切;    高速,高效

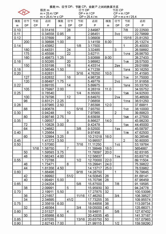
制造范围:m0.1  m45的模数制m;径节制DP;节距制CP

m0.1  m6可做整体硬质合金滚刀

m0.1  m32可做整体高速钢滚刀

m7  m45可做镶片高速钢滚刀

m2  m45可做硬质合金刮削滚刀

m6 ~ m32可做双切整体高速钢滚刀(渐开线齿形和非渐开线齿形)

m0.4  m30可做高速钢蜗轮滚刀

渐开线齿轮滚刀

刀齿齿形:凸角、倒角、修形、齿顶全圆弧、全切等;及其上述任意组合齿形

剃前齿轮滚刀、磨前齿轮滚刀、刮前齿轮滚刀、挤前齿轮滚刀、渐开线花键滚刀

全切齿轮滚刀、多头齿轮滚刀、……

非渐开线齿轮滚刀

链轮滚刀、矩形花键滚刀、三角花键滚刀、带轮滚刀、阴阳转子滚刀、单圆弧滚刀、

双圆弧滚刀、摆线齿轮滚刀、棘轮滚刀、……

合金刮削滚刀

整体硬质合金滚刀

双切滚刀

跳齿滚刀

定装滚刀

镶片滚刀

齿条滚刀

锯条滚刀

蜗轮滚刀

蜗杆类型:ZA、ZN、ZI、ZK、ZC1、ZC2、ZC3

刀具结构:孔式,锥柄(左柄,右柄),直柄

键槽结构:轴向键槽,单端面键槽,双端面键槽

进给方式:径向进给蜗轮滚刀,切向进给蜗轮滚刀

模数范围:m0.5 ~ m30

螺  旋  角:≤40°

蜗杆头数:≤12

刀具精度:AA、A


问题一、变模数变压力角滚刀使用方法

1、安装角(刀架转角)SA

变模数变压力角设计滚刀的安装角SA,应与滚刀的螺旋升角λ和齿轮设计节圆螺旋角βj

(不是原齿轮分度圆螺旋角βf)的大小和方向相适应。

a 滚刀的旋向与齿轮的旋向相同时:   SA = βj - λ

b 滚刀的旋向与齿轮的旋向相异时:   SA = βj + λ

2、差动挂轮

a 使用机械式滚齿机加工时,差动挂轮按原齿轮参数计算。

b 使用数控滚齿机加工时,滚齿机计算机输入的被加工齿轮参数和滚刀参数,必须是法向模数按输 变后法向模数(滚刀模数)、变后法向压力角(滚刀压力角)和齿轮设计节圆螺旋角βj,其余参数不变。       如果齿轮参数和滚刀参数可以分别单独输入,齿轮参数输入按原齿轮参数;滚刀参数输入按变后法向模数(滚刀模数)、变后法向压力角(滚刀压力角),其余参数不变。

3、变模数变压力角法设计的滚刀是一种专用滚刀,不能被代用滚切其他参数齿轮。


问题二、不可盲目使用代用滚刀滚切其它参数齿轮,以免造成齿轮报废

使用代用滚刀滚切齿轮之前,一定要通过理论验算。即将代用滚刀参数与被切齿轮参数之间的相互数学关系验算后,适合代用,才能决定是否代用。千万不能盲目代用,造成被切齿轮的无谓报废。有以下四种代用情况:

1、代用齿轮滚刀。当齿轮分度圆齿厚滚切合格时,齿轮全齿高不合格(或大或小)。这与齿轮的径向变位系数X有关。

2、代用齿轮滚刀。当齿轮全齿高滚切合格时,齿轮分度圆齿厚不合格(或薄或厚)。这与齿轮的径向变位系数X有关。

3、代用齿轮倒角滚刀。当齿轮分度圆齿厚滚切合格时,齿轮齿顶部的倒角量不合格(或大或小)。这与齿轮的径向变位系数X和齿数Z有关。

4、代用齿轮凸角滚刀(磨前、剃前、刮前)。当齿轮分度圆齿厚滚切合格时,齿轮齿根部的挖根量(滚切渐开线起始圆直径)不合格(或大或小)。这与齿轮的径向变位系数X、齿数Z及单侧齿廓留量Δ有关。

综上所述,一般不建议代用滚刀。应是专刀专用,避免不必要的加工失误和齿坯报废。


问题三、涂层滚刀的复磨和复涂工艺过程注意事项

1、  复磨和褪涂的工艺过程是:首先是褪掉上次的涂层,再磨除前刀面和后刀面的磨损,然后复涂层。

2、 注意此工艺过程不能颠倒!

3、 假如带涂层滚刀不褪涂直接复磨,因为涂层和滚刀基体的热传导率不同,基体材料传导热快,受热后体积容易胀大;而涂层都是阻热材料,热传导率差,热传导慢。这样,已磨损的滚刀前刀面和后刀面基体外露部分,已无涂层,和还存在涂层的部分;在磨削时,造成两部分的热传导不均匀,膨胀不均匀,容易造成热局部集中,基体材料组织内产生热应力释放,局部容易产生微细热裂纹,尤其是在滚刀齿根圆弧部位目前,褪涂层的方法是使用化学药水浸泡法,把刀具上涂层化学反应褪除。如果滚刀上存在微细裂纹,药水容易进入微细热裂纹中,对基体长时间(一般浸泡时间都1小时左右)作用后,会腐蚀基体,造成裂纹扩展,或出现基体钴元素析出,造成钴流失。物理涂层(PVD)温度是在500左右,进炉时间约10小时,如果滚刀上存在微细裂纹,在高温长时间作用下,裂纹处容易扩展和存在相反方向的排斥应力。这样,滚刀在滚切过程中,容易出现掉齿、崩刃、打刀等损坏问题。见下图。

 



杆式滚刀



孔式蜗轮滚刀;右柄杆式蜗轮滚刀


齿条滚刀


整体硬质合金滚刀


单端面键滚刀


大直径整体滚刀


双切磨前滚刀


孔式小径加长滚刀


矩形花键滚刀


带轮滚刀


链轮滚刀


双圆弧齿轮滚刀


硬质合金刮削滚刀

跳齿滚刀


大模数镶片齿轮滚刀